1810: 最大公因数 - CCF-GESP2025年6月五级C++
Memory Limit:128 MB
Time Limit:1.000 S
Judge Style:Text Compare
Creator:
Submit:7
Solved:4
Description

Input

Output

Sample Input Copy
5 3
6 9 12 18 30
Sample Output Copy
1
1
3
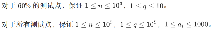
HINT
