1807: 计算如图多边形的面积

Memory Limit:128 MB Time Limit:1.000 S
Judge Style:Text Compare Creator:
Submit:13 Solved:6

Description

从图中可以看出,五边形的面积是三个三角形面积之和,请计算该面积

备注:请使用海伦公式

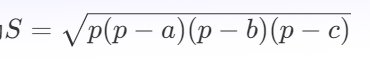
半周长p=(a+b+c)/2

面积等于:

Input

输入图中几条变的值

Output

输出结果,保留三位小数点(不需四舍五入)

Sample Input Copy

3 4 5 6 7 8 8

Sample Output Copy

s=40.865