1643: 最短路径(广度优先)
Memory Limit:128 MB
Time Limit:1.000 S
Judge Style:Text Compare
Creator:
Submit:63
Solved:18
Description
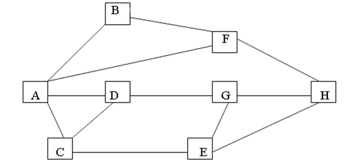
下图表示的是从城市A到城市H的交通图。从图中可以看出,从城市A到城市H要经过若干个城市。现要找出一条经过城市最少的一条路线。


Input
无
Output
一行,最段路线城市名称